STAFF REPORT
Glasgow News 1
Barren County animal owners will operate under new rules after the Fiscal Court approved an updated animal control ordinance on Feb. 17, 2026. According to the ordinance, the measure repeals and reenacts Chapter 90 of the Barren County Code of Ordinances regulating animals.
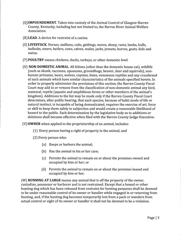
The county also has an interlocal agreement with the city of Glasgow related to animal control services. The new Chapter 90 begins by defining key terms, including what constitutes abandonment, adequate food, water, shelter and ventilation, and cruelty. It clarifies who is considered an owner, what qualifies as a community cat, and which animals are classified as non-domestic. The ordinance also establishes that animal control officers have the powers of a peace officer, except for arrest, for enforcing state and local animal laws.
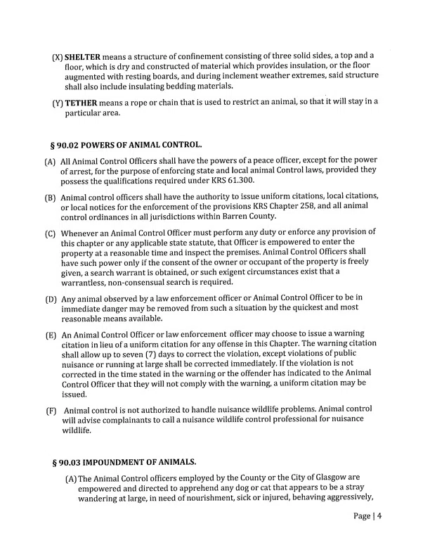
Under the ordinance, animal control officers in Barren County and Glasgow may enter property at reasonable times to carry out their duties, as long as they have consent, a search warrant or exigent circumstances. Officers may impound animals that appear stray, are in immediate danger, are sick or injured, behave aggressively, cause damage, or create a nuisance or hazard, including excessive barking at night.
Stray dogs are to be taken to the Barren River Animal Welfare Association, which is the county’s contracted animal shelter. Impounded adult dogs of unknown ownership must be held at least five days for possible reclamation. After that, the animal becomes the property of the shelter and may be adopted out or humanely euthanized. Sick or badly injured animals without known owners may be euthanized sooner to prevent suffering or protect other shelter animals. Owners reclaiming animals must show proof of ownership, pay for boarding and any veterinary costs, and ensure the animal is vaccinated against rabies. If an animal has been impounded more than once, it must be microchipped at the owner’s expense.
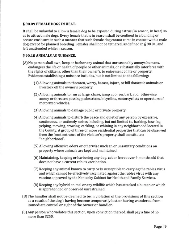
The ordinance also restates Kentucky’s rabies control requirements. Dog and cat owners in Barren County must have their animals vaccinated by four months of age and keep vaccinations current. Animal bites to humans must be reported to the local health department. Health officials may order quarantines for animals that bite someone or are suspected of having rabies, or in some cases require the animal to be destroyed and tested. Owners are responsible for the costs of quarantine, testing and, in some situations, post-exposure treatment. Separate sections address animals and livestock running at large.
Owners may not allow animals to roam on roads, unenclosed land or private property without permission. Those who do are liable for any damage and face escalating fines for repeated offenses, with an option to pay a lower amount on a first citation if it is paid promptly.
Livestock such as horses and cattle must be kept behind a fence in good repair, and stray equine and cattle are handled according to state law. Repeated violations can lead to higher fines for livestock owners as well.
Key Facts
– Barren County Fiscal Court has repealed and reenacted Chapter 90 of the county code regulating animals.
– Ordinance is intended to ensure humane treatment and control of animals in Barren County.
– Animal control officers gain clear authority to impound strays, sick or injured animals and nuisance animals.
– New rules spell out rabies vaccination and quarantine requirements for dogs, cats and other animals.
– Pet and livestock owners face escalating fines for animals running at large or damaging others’ property.
– Owners are responsible for boarding, veterinary costs and microchipping if animals are repeatedly impounded.
See images of the full ordinance below:

























Comments